Image
Courbe ROC
27.06.2024

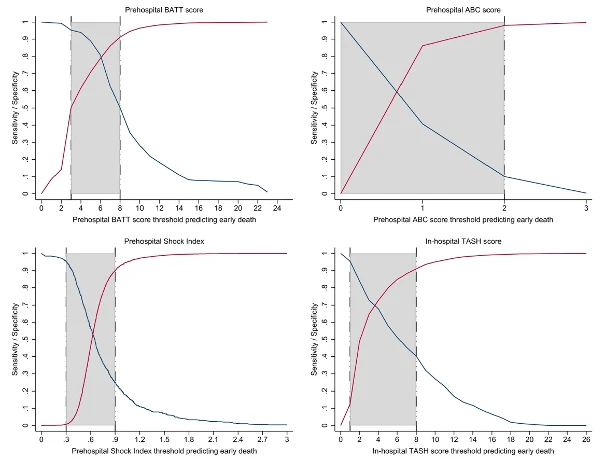
L’image ci-dessus représente une courbe ROC (receiver operating characteristic) comparant la performance diagnostique de plusieurs trauma score évaluant le risque hémorragique(1). Sais-tu interpréter ces résultats et quel score choisir ?

La courbe ROC trace les valeurs de sensibilité (Se) et de spécificité (Sp) pour chaque valeur du score. L’axe des ordonnées représente la sensibilité et l’axe des abscisses représente 1-spécificité. Plus la sensibilité est élevée (proche de 1, soit 100%) et plus la spécificité est élevée et plus la courbe se rapproche du bord supérieur gauche du graphique. L’aire sous cette courbe ROC (AUROC) est d’autant plus importante que la courbe se rapproche de l’angle supérieur gauche, i.e. sensibilité et spécificité élevées. Dans ce cas, le score qui a la plus grande aire sous la courbe présente la meilleure discrimination, i.e. la capacité d’un score d’identifier correctement les patient·es présentant l’outcome d’intérêt (ici le décès traumatique précoce dans les 24h).

Mais cette courbe ROC présente le désavantage de combiner sensibilité et spécificité en même temps. Alors que dans certaines situations, on privilégiera la sensibilité et dans d’autre la spécificité en fonction de notre objectif : Rule-Out (exclure le risque) ou Rule-In (affirmation du risque). Dans ces cas, la représentation des courbes de Se et Sp séparément est à privilégier.

Dans cette même étude, l’approche en zone grise permet de différencier chacune des zones du score : la zone de rule-out (avec une sensibilité maximale) et la zone de rule-in (avec une spécificité maximale). La zone intermédiaire est dite zone grise (2). Pour chacune de ces zones, il convient de s’assurer que pour le paramètre à maximiser, l’autre paramètre ne soit pas trop faible. Par exemple, pour le triage des trauma sévère, l’American College of Surgeon fixe le seuil maximal d’undertriage (taux de faux négatif) à 5% et le seuil maximal d’overtriage (taux de faux positif) à 50%. L’undertriage (taux de faux négatif) correspond à 1-Se et l’overtriage (taux de faux positif) à 1-Sp. Dans le cas du BATT, pour un score à 3, on obtient une Se à 96% (soit 4% d’undertriage) avec une spécificité à 51% (soit 49% d’overtriage). Ce score permet de faire un rule-in sûr, sans provoquer un sur-triage trop important. Les autres scores présentés dans ce papier n’arrivent pas à accomplir ses performances, malgré des valeurs AUROC plus ou moins satisfaisantes.

La compréhension de l’évaluation des scores en médecine (modèle pronostique) est essentielle pour utiliser des outils fiables dans notre pratique clinique.

Image proposée par François-Xavier Ageron, CHUV.